珍本圣经数位典藏

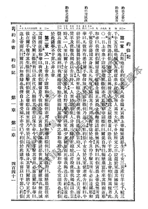
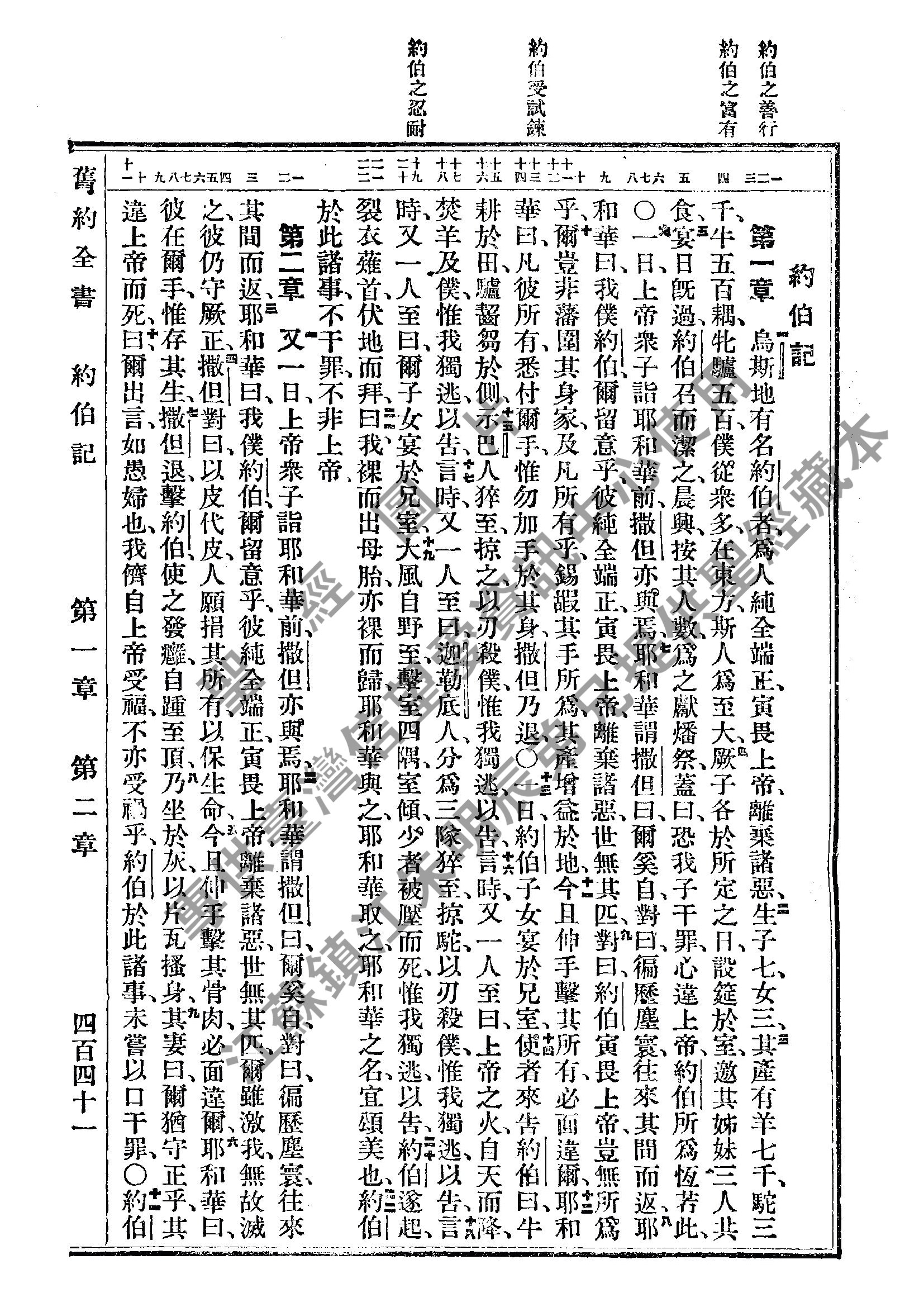
1934年新旧约全书(文理和合本) 约伯记 1 章 到 2 章

(按图可以看高解析度照片) 封面 上一页 下一页 回珍本圣经数位典藏计划首页

回珍本圣经数位典藏计划首页